Capital Recovery Factor
In Sympheny, the net present cost (NPC) is used to calculate the present value of all cash flows over the project’s lifetime, taking into account the time value of money. NPC represents the discounted sum of all costs and revenues for every component in each stage.

The equivalent annual cost (EAC) converts investments with different lifespans or cash flow patterns into uniform annual payments, facilitating easy comparisons between projects.
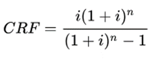
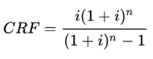
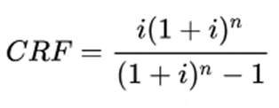
To determine the EAC, start by calculating the capital recovery factor (CRF):

Where i is the discount rate, and n is the number of years in a stage.
Finally, the EAC is calculated using the CRF, which transforms the total NPC into an equal annual cost over the project's duration:
